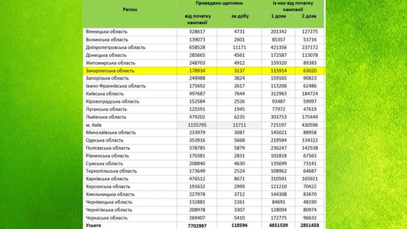
На Закарпатті від COVID-19 вакцинували майже 116 тисяч людей. Понад 63 тисячі – ревакцинували

3 137 щеплень від коронавірусу зробили на Закарпатті 17 серпня. Таку кількість повідомляють на офіційному сайті вакцинації. Загалом в області вакцинували майже 116 тисяч закарпатців.
1 594 закарпатці отримали перше щеплення від коронавірусу 17 серпня, 1 543 людини — друге. Від початку кампанії вперше щепили 115 914 закарпатців, ревакцинували 63 020 людей.

В Україні 17 серпня вакцинували 118 594 людей. Усього з початку кампанії в країні щепили 4 851 539 людей, завершили вакцинацію (отримали дві дози) – 2 851 458 осіб.
Суспільне Закарпаття
Читайте наші найцікавіші новини також у Інстаграмі та Телеграмі
До теми
- В Ужанському Нацпарку фотопастки зафіксували ведмедицю з малятами, які не сплять узимку
- Ветерани підкорили зимовий Петрос під час реабілітаційної мандрівки
- Двічі за день гірські рятувальники вирушали на порятунок заблукалих лижників
- На Мукачівщині поліція затримала підозрювану, яка ножем поранила співмешканця
- У 2026 році на Закарпатті вже зафіксовано 2 випадки сказу серед тварин
- У Перечині відкрили публічну мініскульптуру шовдарю
- Разом до Перемоги: підтримка ЗСУ від Закарпатської митниці
- З нагоди Міжнародного дня рідної мови в Ужгороді відбувся поетичний марафон «Єднаймося в мові»
- 10 операцій за два дні: в обласній дитячій лікарні допомогли маленьким пацієнтам із складними патологіями
- Ужгородський замок – серед пам'яток, які нещодавно внесли до Держреєстру нерухомих пам’яток України
- На Закарпатті стартувала серія тренінгів з природничої педагогіки: відкрито реєстрацію в Ужгороді
- Прикордонники на Закарпатті вдосконалювали навички виявлення підроблених документів
- Майже на 2 млн грн: на українсько-словацькому кордоні зупинили контрабанду фірмового одягу
- Коли рахунок іде на хвилини: як закарпатські гвардійці відпрацьовують знання з тактичної медицини
- Вхід — донат на лікування дитини: в Ужгородському замку провели благодійну екскурсію
- На Берегівщині судитимуть двох братів за екозлочин у заповідній зоні річки Тиса
- Екскурсоводів Закарпаття привітали з професійним святом
- Незаконний бізнес на ухилянтах: на Берегівщині взято під варту місцевого переправника
- Весна наближається: у реабілітаційному центрі нацпарку «Синевир» прокидаються ведмеді
- Долучайтеся: Закарпатська обласна станція переливання крові створила спільноту у Viber «Шукаю Донора: Ужгород»

До цієї новини немає коментарів